Artykuły - chromatografia cieczowa i gazowa

Zapraszamy do zapoznania się z artykułami dotyczącymi technik chromatograficznych
  • Separacja peptydów w chromatografii cieczowej

    <Chromatografia cieczowa peptydów

    Genore chromatografia
    Kolumny do chromatografii cieczowej to złoże chromatograficzne upakowane w specjalnie zakończonych rurach. Te rury (hardware kolumny) występują w dwóch głównych typach: stalowe oraz plastikowe. Ta druga wersja jest inertna - biokompatybilna...

    Więcej...

  • Nowoczesna uprawa konopi włóknistych: Od biomasy do wysokospecjalistycznych surowców farmaceutycznych

    <Nowoczesna uprawa konopii włóknistych

    Genore chromatografia
    Kolumny do chromatografii cieczowej to złoże chromatograficzne upakowane w specjalnie zakończonych rurach. Te rury (hardware kolumny) występują w dwóch głównych typach: stalowe oraz plastikowe. Ta druga wersja jest inertna - biokompatybilna...

    Więcej...

  • Jak dobrać mikser do zastosowań HPLC

    <Dobór miksera do HPLC: Praktyczny przewodnik

    Miksery HPLC ASI
    Kolumny do chromatografii cieczowej to złoże chromatograficzne upakowane w specjalnie zakończonych rurach. Te rury (hardware kolumny) występują w dwóch głównych typach: stalowe oraz plastikowe. Ta druga wersja jest inertna - biokompatybilna...

    Więcej...

  • Inertne kolumny HPLC - do czego się je stosuje

    <kolumny HPLCinertne kolumny HPLCniereaktywne kolumny HPLCkolumny HPLC pasywowanepasivated HPLC columnsPEEK columnsPEEK biocompatible columnskolumny chromatograficzne biokompatybilne

    Kolumny do chromatografii cieczowej to złoże chromatograficzne upakowane w specjalnie zakończonych rurach. Te rury (hardware kolumny) występują w dwóch głównych typach: stalowe oraz plastikowe. Ta druga wersja jest inertna - biokompatybilna...

    Więcej...

  • Derywatyzacja przedkolumnowa - dlaczego sprawia problemy i co można z tym zrobić

    <Analiza aminokwasówAnaliza aminokwasów HPLCAnaliza aminokwasów na HPLCAnaliza aminokwasów chomatografiaderywatyzacja aminokwasówderywatyzacja przedkolumnowa aminokwasówderywatyzacja prekolumnowa aminokwasówderywatyzacja postkolumnowa aminokwasówderywatyzacja pokolumnowa aminokwasówAnaliza aminokwasów derywatyzacja ninhydrynąanalizator aminokwasówautomatyczny analizator aminokwasówderywatyzacja OPAderywatyzacja FMOC-Clderywatyzacja FMOCderywatyzacja PITCderywatyzacja aminokwasów OPAderywatyzacja aminokwasów FMOC-Clderywatyzacja aminokwasów FMOCderywatyzacja aminokwasów PITCderywatyzacja aminokwasów problemyanalizy aminokwasów na HPLC problemyproblem z analizą aminokwasówproblem z analizą aminokwasów HPLC

    Badania aminokwasów HPLC - problemy z derywatyzacją przedkolumnową.

    Więcej...

  • Jakie gazy do chromatografii gazowej (GC)?

    <gazy w chromatografi gazowejgaz nośny do GCgaz palnyjakie gazy w chromatografi gazowejjaki gaz nośny do GCjaki gaz palny

    Gazy w chromatografii gazowej
    Jakie gazy wybrać do chromatografii gazowej (GC). Odpowiadamy w artykule Genore chromatografia

    Więcej...

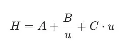
  • Tajemnica krzywej van Deemtera. Równanie van Deemtera

    <Krzywa van DeemteraKrzywa van Deemtera chromatografiaKrzywa van Deemtera HPLCKrzywa van Deemtera GCRównanie van DeemteraRównanie van Deemtera chromatografiaRównanie van Deemtera HPLCRównanie van Deemtera GCHETP definicjaco to jest półka teoretyczna

    Tajemnica krzywej van Deemtera w artykule Genore chromatografia

    Więcej...

  • FAQ - Często zadawane pytania%REKLAMY_NIE_PL%

    <

    Odpowiadamy na pojawiające się często pytania.

    Więcej...